Hacker Eco-X TopFuel 5000mAh 6S 111Wh 20C LiPo battery pack (WHL #31)
Hey! What’s the thing that this blog needs the most?
Yep! Another battery post!
So, last one of the big lithium batteries today. We have a Hacker (nice brand name!) “TopFuel LiPo 20C-ECO-X 5000mAh 6S” unit. I think this could be the first item to carry an EAN number (4250320228615) on the label – and it very well might be the first one where the manufacturer that directly sells these puppies (for 93€ a piece) does not appear on the first 100 Google results on exactly this number. That’s a pretty shitty rank for a manufacturer AND a web shop, I have to say…
I’m also not sure about the technical details on the shop page. It says 733g of total weight, but it’s just half of that? Yeah, the current model has some fancy status indicator on the side, but that’s not adding more than 10 grams, I suppose.
As there’s a paper layer around the pack, there’s not much to be seen.

The disclaimer however could very well be on a Wan Hung Lo product, have a read (the German version is just fine):
Disclaimer. This battery is for RC flight only. By using this battery, you declare that you have read and understood the safty precautions printed on the manual you recieved with this pack, and that you agree to accept full responsibility for any injury, loss or damadge resulting from user error or omission, misapplication or abuse of the product howsoever arising. If you do not agree with the statement, please contact Hacker Motor GmbH to arrange for the return of this product to us in its original condition for a full refund. Your statutory right are unaffected
Yeah, safty first, and an interesting choice for a manufacturer to take batteries back that you do not want to operate under these conditions. Never seen that anywhere else, is this specific to RC batteries?
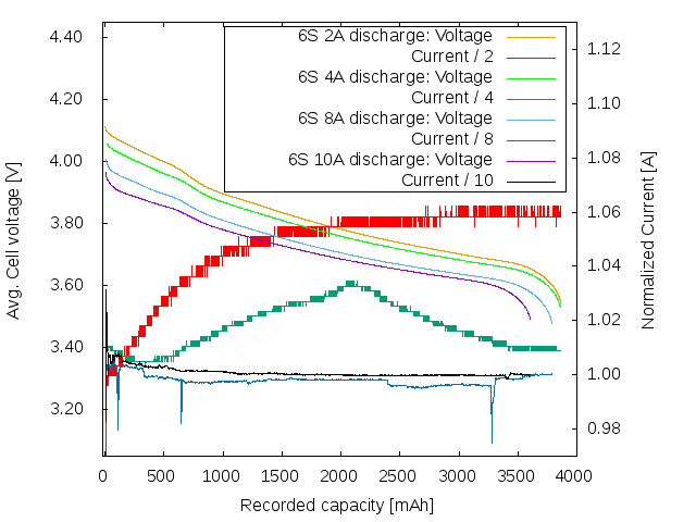
Anyway, it’s the performance that matters. And for that, I turned my electronic load to eleven. Well, ten, if you convert to amps. 10A at 25.2V (max) is quite a bit of heat. Having 23°C of room temperature, this test brought my upgraded rack (with three MOSFET-resistor pairs driven by a not-yet released PCB) to the limits. The battery didn’t have much of a problem with it – 39°C on the bottom, that’s it. But the poor, poor MOSFETs clocked in at 122°C surface temperature as measured by the testo 805 infrared thermometer. The datasheet says operation up to 175°C is okay – but that’s junction temperature. And there’s a junction to case thermal resistance of 0.7K/W…
10A at 22V (typical) needs an effective resistance of 2.2Ω, which is split between the gating MOSFET plus the shunt resistor (30mΩ in total), and the three MOSFET-resistor pairs that are the actual load. Yeah, and some wire and contact resistance, whatever. So 2.1Ω over three identical parallel strands is 6.3Ω per strand. The fixed power resistor only has 0.22Ω or 3.5%. That’s the price you pay for a load that can go really low in total resistance. And 3.5% is also its share of power dissipation – 2.4W vs 66.2W.
0.7K/W at 66 watts is another 46 degrees that add to the case temperature. So in this back-of-the-envelope calculation we’re at 168°C of junction temperature, just shy of the 175°C maximum operating temperature. They are not going to like that over extended periods of time…
I’m thinking about doubling up the active parts once again, which also allows for power resistors with a slightly higher value of 470mΩ without performance sacrifice. The MOSFETs are obviously not able to sink enough power into the big Fischer heat sinks, as they are toasty, but not untouchable at that power level. They hover around 50°C with fans running, going back to 35°C within seconds after the load is stopped. As the mica insulator under the MOSFETs is required, I can only double-up the components to get better overall heat transfer into the heat sinks. Well, that’s going to be another board, and I haven’t even presented the current one to drive this triple MOSFET solution.
As for the test results of the battery, it underperforms as well, but in a repeatable manner and “only” 25% short of the advertised capacity: 3860mAh @ 2A, 3860mAh @ 4A, 3790mAh @ 8A and 3610mAh @ 10A = 2C discharge. Other than last week’s battery pack, I think this one is just aged quite a bit, but not going to be defective in a few more cycles. There’s a noticeable weaker cell as well, but for all runs, I was easily able to monitor that and stop the discharge once it got to 3.0V under load. It also behaves well when charging, so that battery pack will go back to the shelf for future projects at work.
Testing voltage also means touching the battery to reset the pretty bad LiPo voltage tester. That’ll explain the dips in the 8A run, while the 10A one went amazingly smooth. And for the others – yeah, that’s with the old shunt resistor, aka the RDSon of the gating MOSFET. What an upgrade…



